B3 BEM
B3 BEM is a wrapper around CCBlade for Blade Element Momentum (BEM) analysis of wind turbine rotors. It optimizes turbine control in 4 regimes (min speed, opt speed, max speed, max power). Supports multiple run types: optimal control optimization and fixed setpoints.
Installation
pip install -e .Usage
CLI
b3-bem run --yml config.yml [--force] [--plot]Programmatic
from b3_bem.core.step import B3BemStep
step = B3BemStep('config.yml', force=True)
step.run()Outputs: CSV tables and PNG plots in the workdir.
Configuration
The YAML config supports a runs section in bem to specify different analysis types:
bem:
runs:
opt: {type: optimal}
fixed: {type: fixed_setpoints, setpoints: [{wind_speed: 7, rpm: 7, pitch: 0}, {wind_speed: 12, rpm: 7, pitch: 3}]}optimal: Optimizes control for rated power across wind speeds.fixed_setpoints: Evaluates at specified fixed operating points.
Example Output
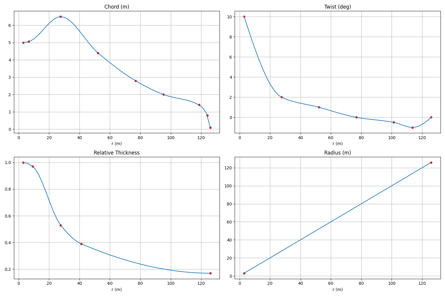
Planform

Rotor Performance

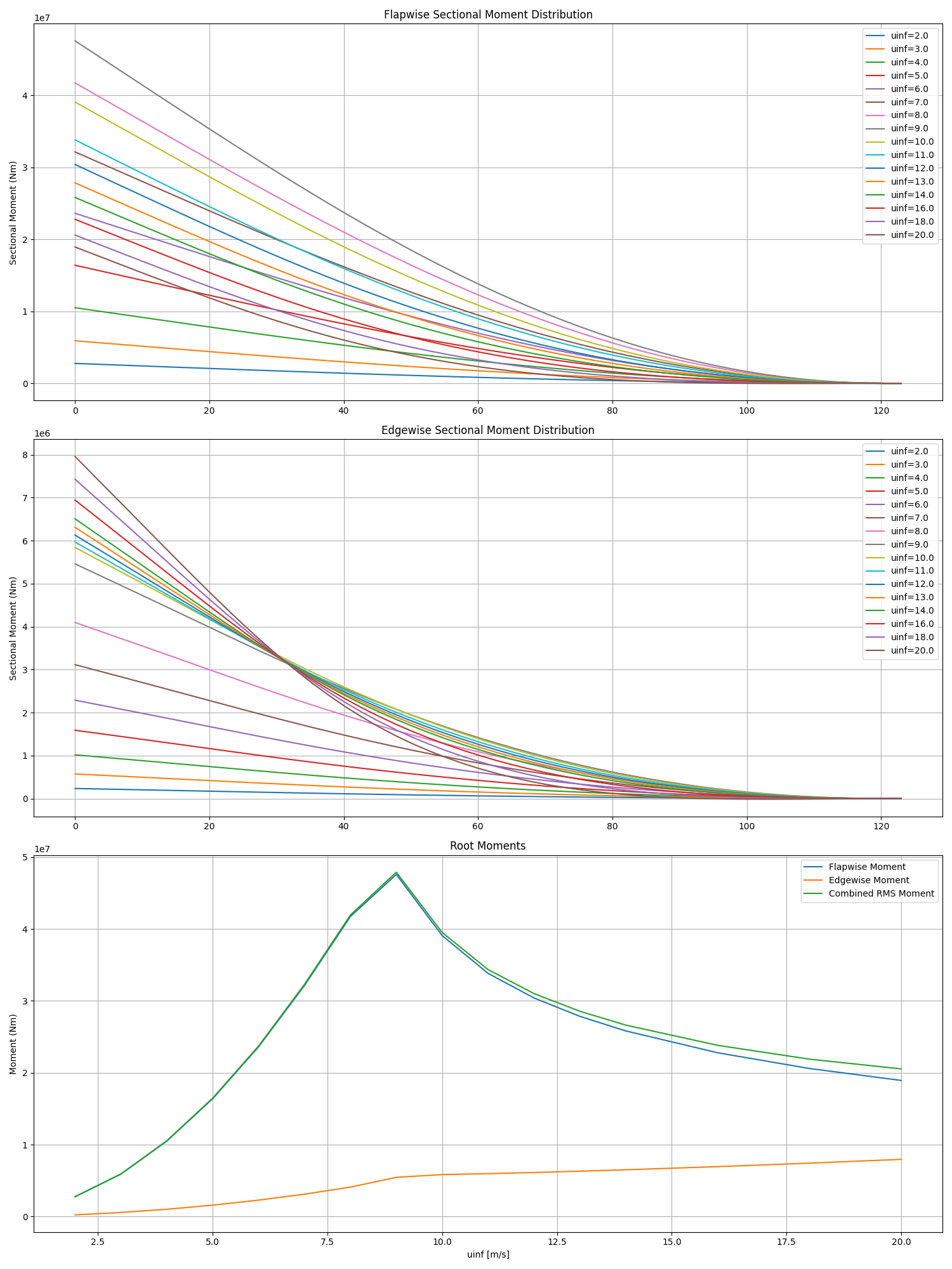
Blade Loads

Moments

License
MIT